組蛋白去甲基化酶:LSD和JmjC家族
日期:2024-02-05 14:28:27
在真核細胞核中,組蛋白H2A和H2B緊密相互作用形成二聚體,H3和H4形成四聚體,兩個H2A、H2B二聚體和一個H3、H4四聚體形成核心組蛋白八聚體。DNA與核心組蛋白八聚體糾纏在一起,形成核小體,這是染色體的基本單位。組蛋白是 DNA 壓縮的有力工具。組蛋白翻譯后修飾是調節核小體結構的常見途徑。四種常見的組蛋白修飾包括甲基化、乙酰化、磷酸化和泛素化。
組蛋白的甲基化與基因轉錄激活、轉錄沉默、X染色體失活和異染色質致密狀態密切相關。長期以來,組蛋白甲基化被認為是一個不可逆的過程。隨著2004年第一個組蛋白去甲基化酶的發現 [1],組蛋白甲基化顯然是一個動態調控的過程。組蛋白甲基化受組蛋白甲基轉移酶(HMTs)和組蛋白去甲基化酶(HDMs)的調控。組蛋白去甲基化是甲基化過程的對立過程。
1. 什么是組蛋白去甲基化?
組蛋白去甲基化是組蛋白去甲基化酶(HDMs)催化去除組蛋白N端尾部特定氨基酸上甲基的過程。組蛋白去甲基化酶主要作用于組蛋白H3上的賴氨酸(K)殘基,包括K4、K9、K27和 K36。組蛋白去甲基化酶也稱為組蛋白賴氨酸去甲基化酶(KDMs)。
2. 兩個組蛋白去甲基化酶家族:LSD和JmjC
目前已發現兩個進化保守的組蛋白去甲基化酶家族:賴氨酸特異性去甲基化酶(LSD)和含Jumonji C(JmjC)結構域的去甲基化酶(JHDM)[1][2]。它們利用不同的機制去除甲基。
2.1 LSD去甲基化酶
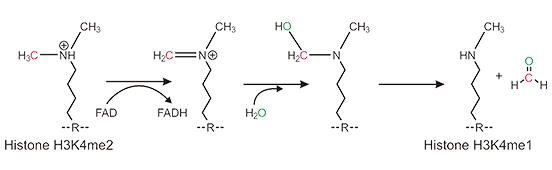
LSD家族由LSD1和LSD2組成,它們通過黃素腺嘌呤二核苷酸(FAD)依賴性胺氧化酶反應,使單甲基化和二甲基化賴氨酸殘基去甲基化。LSD1又稱KDM1A或AOF2,是第一個被發現的組蛋白賴氨酸去甲基化酶,它能去除組蛋白H3中賴氨酸4(H3K4me1/2)或組蛋白H3中賴氨酸9(H3K9me1/2)上的單甲基和二甲基基團,分別作為基因表達的抑制因子或激活因子。
LSD1去甲基化機制:
圖1. LSD1去甲基化機制
圖片來源:https://journals.biologists.com/dev/article/136/6/879/43849/Developmental-roles-of-the-histone-lysine
LSD1與CoREST和組蛋白去乙酰化酶1/2(HDAC1/2)相互作用,從而賦予H3K4me1/2更多的特異性,導致其去甲基化,從而促進異染色質的形成和靶基因的轉錄失活 [1][4]。然而,當LSD1與活化的雄激素受體(如雌激素受體(ER)或雄激素受體(AR))復合時,它作為轉錄激活劑會使H3K9me1/2去甲基化 [5][6]。
圖2. LSD1同時充當轉錄激活劑或抑制劑
圖片來源:https://www.ncbi.nlm.nih.gov/pmc/articles/PMC5691370/
通過使H3K4去甲基化,LSD1可使DNA甲基轉移酶(DNMTs)的正調控因子DNMT3L與未甲基化的K4位點結合,從而促進DNMTs的表達,引起DNA的再甲基化,從而導致基因轉錄抑制。
此外,LSD1 還能使非組蛋白去甲基化,如p53上的K370me1和K370me2、DNMT1上的Lys1096以及E2F1上的Lys185。
LSD2也稱為KDM1B或AOF2,是另一種FAD依賴性胺氧化酶同源物,含有SWIRM結構域,專門靶向H3K4me1/2 [7]。然而,由于KDM1B缺乏塔狀結構域,因此無法與CoREST形成復合物。
2.2 JmjC去甲基化酶
Tsukada等人于2006年首次發現了含JmjC域的蛋白JHDM1A/KDM2A是一種H3K36me1/2去甲基化酶 [2]。根據序列信息,含JmjC的蛋白質可分為7個家族,即JHDM1、JHDM2、JHDM3、JARID1、UTX/UTY、PHF8和僅含 JmjC結構域的蛋白質。JmjC家族由30個成員組成,迄今已有近20個成員被證明具有組蛋白去甲基化酶活性。
JmjC去甲基化機制:
圖1. JmjC去甲基化機理
圖片來源:https://www.ncbi.nlm.nih.gov/pmc/articles/PMC5691370/
表1. HDM家族成員
| 家族 | HDM名稱 | 結構域 | Histone亞結構 | 功能 | |
|---|---|---|---|---|---|
| LSD | LSD1 | KDM1A | SWIRM, AOL, Tower domains | H3K4me1/2, H3K9me1/2 | 轉錄抑制或激活;DNA 甲基化;早期胚胎發育 |
| LSD2 | KDM1B | AOL and SWIRM domains | H3K4me1/2 | 與基因中的轉錄編碼區相關,對優化基因轉錄非常重要 | |
| JmjC domain-containing protein | JHDM1 | JHDM1A/KDM2A | JmjC, LRRS, F-box, CXXX zinc finger, and DNA-binding domains | H3K36me1/2 | 轉錄延伸 |
| JHDM1AB/KDM2B | H3K36me1/2; H3K4me3 | 轉錄延伸;抗癌基因 | |||
| JHDM2 | JHDM2A/KDM3A | JmjC, Zinc-like finger domain | H3K9me1/2 | 雄激素受體激活;精子發生;糖尿病 | |
| JHDM2B/KDM3B | H3K9me1/2 | 抗癌基因 | |||
| JHDM3 | JHDM3A/JMJD2A/KDM4A | JmjN domain, the JmjC domain, the C-terminal domain, and a zinc-finger motif | H3K9me2/3; H3K36me2/3 | 轉錄抑制;基因組完整性維護 | |
| JHDM3B/JMJD2B/KDM4B | H3K9me2/3; H3K36me 2/3 | 異染色質形成 | |||
| JHDM3C/JMJD2C/KDM4C | H3K9me2/3; H3K36me2/3 | 癌基因;維持干細胞的全能性 | |||
| JHDM3D/JMJD2D/KDM4D | H3K9me2/3; H3K36me2/3 | 雄激素受體激活 | |||
| JARID1 | JARID1A/KDM5A | JmjC, JmjN, AT rich interactive, C5HC2 zinc finger, and PHD domains | H3K4me2/3 | RB 結合蛋白 | |
| JARID1B/KDM5B | H3K4me1/2/3 | 轉錄抑制;癌基因 | |||
| JARID1C/KDM5C | H3K4me2/3 | 與 X 染色體有關的智力障礙 | |||
| JARID1D/KDM5D | H3K4me2/3 | 雄性特異抗原 | |||
| KDM6A | UTX | JmjC, six tetratricopeptide repeat (TPR) domains | H3K27me2/3 | 調節 HOX 基因表達;抗癌基因 | |
| KDM6B | JMJD3 | JmjC domain, a C-terminal segment embedded with a GATAL domain | H3K27me2/3 | 神經和表皮細胞產生免疫力 | |
| JMJD6 | JmjC domain, three apparent nuclear localization signals (NLS), a DNA binding domain (AT-hook domain), a putative sumoylation site, and a polyserine (polyS) domain | H3K2me2, H4K3me2 | 轉錄激活;胚胎發育 | ||
3. 組蛋白去甲基化酶的功能是什么?
自2004年發現第一個組蛋白去甲基化酶以來,研究人員已對已發現的組蛋白去甲基化酶的活性進行了全面鑒定,發現這些組蛋白去甲基化酶不僅可以靶向組蛋白和非組蛋白底物,而且在癌癥、發育、代謝性疾病(糖尿病)等過程中發揮著重要作用。
3.1 組蛋白去甲基化酶與癌癥
LSD1在許多癌癥中異常表達,阻礙癌細胞分化,促進癌細胞增殖、轉移和侵襲,并與預后不良有關。在造血和淋巴腫瘤中,包括急性髓性白血病(AML)、急性淋巴細胞白血病、T細胞非霍奇金淋巴瘤和霍奇金淋巴瘤,都發現了LSD1的過表達。LSD1還與多種實體瘤有關,包括非小細胞肺癌、神經母細胞瘤、胰腺癌、前列腺癌和乳腺癌。抑制LSD1的作用可能會減少或阻止這些腫瘤的細胞生長。
Wan,W.等發現,JMJD1A與HIF-1α的關聯影響了膀胱腫瘤細胞糖代謝通路中PGK1啟動子HRE區的H3K9me2水平,從而影響PGK1的表達,進一步調控膀胱腫瘤細胞的糖代謝通路,最終對膀胱腫瘤細胞的生長和增殖起到調控作用 [8]。
3.2 組蛋白去甲基化酶與發育
大量研究表明,組蛋白去甲基化酶在不同物種的發育過程中發揮著特定的生物學作用,包括在種系維持和減數分裂、早期胚胎發育和分化以及激素受體介導的轉錄調控中的作用。
在后生動物中,LSD1作用于 H3K4me1/2,并在生殖系中發揮重要作用。在發育過程中,幾種去甲基化酶參與了多能祖細胞類型向分化細胞系的進展。在胚泡階段,LSD1 既是母體儲存的,也在胚胎發生過程中表達 [9]。在體外受精的小鼠胚胎中使用LSD1去甲基化酶抑制劑Bisguanidine 1c,會導致小鼠胚胎中 H3K4me2 整體增加并誘導不可逆的停滯 [10]。這證明了LSD1在胚胎中的作用,并且對早期分化事件至關重要 [10]。在蒼蠅中,LSD1的缺失會導致胚胎死亡。
最近,JMJD2C和JHDM2A都與小鼠胚胎干(ES)細胞多能性的維持有關。這兩種去甲基化酶在未分化的ES細胞中表達,似乎通過激活多能性維持蛋白(如OCT4、NANOG和TCL1)的轉錄來保持多能性 [11][12]。
Jepsen等人發現,當小鼠胚胎神經干細胞(NSCs)暴露于維甲酸(RA)誘導分化時,JMJD3成為維甲酸和甲狀腺激素受體沉默介質(SMRT)的轉錄靶標[13]。他們還發現,JMJD3在NSC培養物中的過表達刺激了Dlx5等神經元亞型基因的表達,為JMJD3在驅動神經元分化中的作用提供了證據。
Yamane等人的研究表明,LSD1和JHDM2A共同調控了編碼前列腺特異性抗原(PSA)和NKX3.1的雄激素受體(AR)反應基因 [6][14]。
3.3 組蛋白去甲基化酶與糖尿病
Tateishi 等人發現,JHDM2A 基因敲除小鼠表現出肥胖和高脂血癥的癥狀。詳細研究表明,β-腎上腺素的刺激可誘導JHDM2A基因的表達,JHDM2A可與Ppara和Ucp1基因結合,直接調控其表達。因此,JHDM2A基因的缺乏會影響棕色脂肪組織的甘油釋放和氧代謝,降低骨胳脂肪氧化和甘油釋放,最終導致肥胖和高血壓。
華美生物提供用于研究的各種重組組蛋白去甲基化酶:
參考文獻:
[1] Shi Y, Lan F, et al. (2004) Histone demethylation mediated by the nuclear amine oxidase homolog LSD1 [J]. Cell 119: 941–953.
[2] Tsukada Y, Zhang Y, et al. (2006) Histone demethylation by a family of JmjC domain-containing proteins [J]. Nature 439: 811–816.
[3] Hojfeldt JW, Agger K, Helin K. Histone lysine demethylases as targets for anticancer therapy [J]. Nat Rev Drug Discov. 2013;12:917–930.
[4] Lee MG, Wynder C, Cooch N, Shiekhattar R. An essential role for CoREST in nucleosomal histone 3 lysine 4 demethylation [J]. Nature. 2005;437:432–5.
[5] Wissmann M. Cooperative demethylation by JMJD2C and LSD1 promotes androgen receptor-dependent gene expression [J]. Nat Cell Biol. 2007;9:347–353.
[6] Metzger E, Wissmann M, Yin N, et al. LSD1 demethylates repressive histone marks to promote androgen-receptor-dependent transcription [J]. Nature. 2005;437(7057):436–9.
[7] Ciccone DN. KDM1B is a histone H3K4 demethylase required to establish maternal genomic imprints [J]. Nature. 2009;461:415–418.
[8] Wan, W., Peng, K., et al. Histone demethylase JMJD1A promotes urinary bladder cancer progression by enhancing glycolysis through coactivation of hypoxia inducible factor 1α [J]. Oncogene 36, 3868–3877 (2017).
[9] McGraw, S., Vigneault, C. and Sirard, M. A. (2007). Temporal expression of factors involved in chromatin remodeling and in gene regulation during early bovine in vitro embryo development [J]. Reproduction 133, 597-608.
[10] Shao, G. B., Ding, H. M. and Gong, A. H. (2008). Role of histone methylation in zygotic genome activation in the preimplantation mouse embryo [J]. In Vitro Cell Dev. Biol. Anim. 44, 115-120.
[11] Katoh, Y. and Katoh, M. (2007). Comparative integromics on JMJD2A, JMJD2B and JMJD2C: preferential expression of JMJD2C in undifferentiated ES cells [J]. Int. J. Mol. Med. 20, 269-273.
[12] Loh, Y. H., Zhang, W., et al. (2007). Jmjd1a and Jmjd2c histone H3 Lys 9 demethylases regulate self-renewal in embryonic stem cells. Genes Dev. 21, 2545-2557.
[13] Jepsen, K., Solum, et al. (2007). SMRT-mediated repression of an H3K27 demethylase in progression from neural stem cell to neuron [J]. Nature 450, 415-419.
[14] Yamane, K., Toumazou, C., et al. (2006). JHDM2A, a JmjC-containing H3K9 demethylase, facilitates transcription activation by androgen receptor [J]. Cell 125, 483-495.
下一篇: 組蛋白修飾:基因調控和疾病發病機制的意義






